一、写在前面
首先是一些电感的基础知识,便于对后续内容有更好的理解。
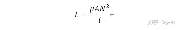
①电感定义公式
式中,μ为磁路磁导率,A为截面面积,N为线圈匝数,l为磁路长度。
可以看出,对于一个结构匝数确定的电感器来说,电感的大小取决于磁路的饱和状态,也就是磁导率μ,磁路饱和程度越高,电感越小,反之越大。
②在线圈中通入电流,会产生磁场匝链线圈,用公式表示为:
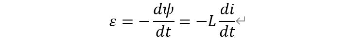
③当通入电流为交流电时,线圈产生的磁场也是交变的,交变磁场会感应出电动势,其值为:
④当电感线圈中通入电流时,电路表现为感性,感抗为:
式中,f为交流电频率。电流频率越大,线圈对电流的阻碍作用就越大,电流值就越小,即电感线圈通直流阻交流。
二、电感、自感、互感、漏感
电感是自感和互感的总称,只存在单个线圈时,电感就是指自感。必须至少存在两个线圈才能讨论互感和漏感。
当线圈中通入电流时,会产生磁场,这种反映线圈产生磁场能力强弱的物理量称为自感系数,简称自感。
当存在两个线圈时,其中一个线圈中电流所产生的磁通有一部分与第二个线圈相环链,产生互感磁链。这种反映一个线圈对应一个线圈产生互感磁链能力强弱的物理量称为互感系数,简称互感。
互感系数用公式表达为:
式中,k为耦合系数,取值为0~1,0表示两个线圈完全没有耦合,1表示两个线圈完美耦合;LAA和LBB为两个线圈的自感。
当两个线圈没有完美耦合时,其中一个线圈中的磁通会有一部分无法和另一个线圈相环链,电流产生的这部分磁场大小可以用漏感来衡量。
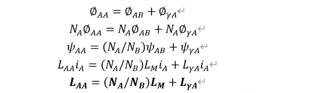
举例说明:假设有匝数为NA和匝数为NB的A、B两个线圈,分别通入电流iA和iB,则:
线圈A的总磁链 =线圈A产生的自感磁链+线圈B对线圈A的互感磁链。
=线圈A对线圈B的互感磁链+线圈A的漏感磁链+线圈B对线圈A的互感磁链。
用公式表示为:
式中,
φA,φB为A,B线圈中的总磁通;φAA,φBB为A,B线圈自身通入电流产生的磁通;φBA为由线圈B产生并穿过线圈A的磁通;
ψA,ψB为A,B线圈中的总磁链;ψAA,ψBB为A,B线圈自身通入电流产生的磁链;ψBA为由线圈B产生并与线圈A匝链的磁链。
对于线圈A自身通入电流产生的磁通:
式中,
φAB为A对B的互感磁通;φγA为线圈A的漏磁通;
LAA为线圈A的自感;LM为线圈A、B之间的互感;LγA为线圈A的漏感。
三、PMSM数学模型
为建立其数学模型,先做如下假设:
①永磁材料不导电,磁极的磁导率与气隙相同;
②忽略铁心材料磁阻,不计及磁滞和涡流损耗;
③定子绕组对称分布且各轴线相差120度,转子无阻尼绕组;
④电枢反应磁场和永磁体磁场为正弦分布,稳态感应电动势为正弦波。
图3 ABC坐标系PMSM模型
取永磁磁极励磁磁场的基波分量为ψf,其与A相轴线之间的夹角用θ表示,定子绕组Y形连接,转子以角速度ω逆时针旋转。
三相磁链方程为:
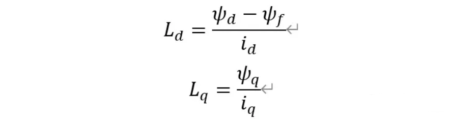
已知L=ψ/i,因此可以通过磁链分析电感。由于磁链方程中三相磁链之间相互耦合,不利于对电感的分析,所以将对三相电感的分析转化为对d、q轴电感的分析,即Ld、Lq。由于d、q之间完全解耦,d 轴磁路状态只与 d 轴电流相关, q 轴磁路状态只与 q 轴电流相关。可以得到,d、q轴上磁链和电感的关系:
电机运行过程中受到的负载可能是不断变化的,因此所需的电流大小和相角也是变化的,这将导致d、q轴磁路饱和状态发生变化,从而使Ld、Lq发生变化。
为了更直观地分析电流对电感的影响,将三相电流经过Clark和Park变换,等效为id和iq,最终只需观察id、iq的变化对Ld、Lq的影响即可。
上图可以看到,当单独通d轴或q轴电流时,d、q存在共用耦合磁路的情况,因此,d(q)轴电流的变化,除了会改变自身轴的电感外,还会引起q(d)轴电感参数的变化。
(1)id=0~-10A ,iq=0
当只通入d轴电流时,d、q轴的各项参数变化如下:
①永磁磁链:随着id增加,永磁体磁链保持不变;若d轴磁路先前处于饱和状态,随着id增加,d轴磁路饱程度降低,永磁体磁链会有所增加。
②d轴磁链:随着id增加,反向去磁磁链增加,由于永磁磁链保持不变,因此d轴磁链会减小,直至硅钢片反向饱和。
③d轴电感Ld:随着id增加,d轴饱和程度降低,d轴磁阻减小,Ld逐渐增大,随着硅钢片反向饱和,Ld又逐渐减小。
④q轴电感Lq:由于dq磁路耦合,id变化也会影响Lq:由于存在永磁磁链,随着id增加,d轴磁链减小,dq耦合磁路的磁力线减少,q轴饱和程度降低,因此Lq逐渐增大;但是id持续增加,使d轴磁场反向增大后,dq耦合磁路的磁力线增加,q轴饱和程度增加,Lq逐渐减小。
(2)id=0,iq=0~10A
当只通入q轴电流时,d、q轴的各项参数变化如下:
①永磁磁链:由于dq磁路耦合,随着iq增加,耦合磁路的磁力线增加,d轴饱和程度增加,导致永磁体产生的磁力线匝链定子绕组的数量减少,因此永磁磁链逐渐减小。
②q轴磁链:随着iq增加,q轴磁链的变化趋势与硅钢片B-H曲线相似,斜率先增加后减小,最终达到饱和。
③d轴电感Ld:由于dq磁路耦合,随着iq增加,d轴磁路最终会达到饱和,但这个过程中,根据不同硅钢片B-H曲线斜率的不同以及加载电流前硅钢片工作点的不同,可能会出现磁导率先增加后减小的情况,此时,Ld会先增加后减小;也可能会出现磁导率一直减小的情况,此时,Ld会一直减小。
④q轴电感Lq:随着iq增加,硅钢片B-H曲线斜率(磁导率)先增加后减小,因此Lq先增加后减小。
以上,就是对电感的一些总结分享。
来源:知乎@天斟
免责声明:本文系网络转载,版权归原作者所有。本文所用视频、图片、文字如涉及作品版权问题,请第一时间告知,我们将根据您提供的证明材料确认版权并按国家标准支付稿酬或立即删除内容!本文内容为原作者观点,并不代表本公众号赞同其观点和对其真实性负责。